YK-LX型楔形流量計是一種差壓式流量儀表,它是利用在密閉管道中能量相互轉換的伯努利定律,即:在穩定流體場合中,管道中的流速與差壓的平方根成正比。楔形流量計是八十年代開始開始逐步走向實用的一種新型流量計,其檢測件是一個V字形楔塊(又稱楔形節流件),它的圓滑頂角朝下,這樣有利于含懸浮顆粒的液體或粘稠液體順利通過,不會在節流件上游側產生滯流。流體通過楔形流量計時,由于楔塊的節流作用,在其上、下游側產生了一個與流量值成平方關系的差壓,將此差壓從楔塊兩側取壓口引出送至差壓變送器轉變為電信號輸出,再經專用智能流量積算儀運算后,即可顯示流量值。
一、楔形流量計測量原理
楔形流量計的基本測量原理和孔板及傳統的文丘里等差壓式流量測量儀表相同,都是以能量守恒定律———伯努利方程和流動連續性方程為基礎的流量測量方法。通過節流件—楔塊產生的差壓的平方根正比于質量或體積流量,不同的弓形高度h與管道直徑D的比(楔形比h/D)來確定不的流量測量范圍,楔形流量計可以解決你最困難的流量測量,并保證可靠的測量結果。
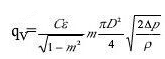
楔形流量計的流量方程:
式中 qv----體積流量計,m3/s
C------流出系數;
ε-----可膨脹系數;
m------節流面積比;m=S1/πD2/4
S1-----弓形流通面積㎡ ;
D------管道內徑,m;
△p------差壓,pa;


































